37+ Estate Settlement In Singapore For Your Deceased Loved Ones Here S What You Need To Do After The Funeral Letter Of Administration Singapore Sample

37+ Estate Settlement In Singapore For Your Deceased Loved Ones Here S What You Need To Do After The Funeral Letter Of Administration Singapore Sample

There is also a number of.

Letter Of Administration Singapore Sample. Browse cover letter examples for administration jobs. The grant of letters of administration in singapore is a document issued by the family justice courts, authorizing persons named in the grant to act as administrators of the deceased's estate. Dear sara, in lieu of your grandfather mr. Introduction to singapore grants of letters of administration. There is also a number of. Barker's refusal to carry out the duty of executor of your grandmother harriett barker's will, we confirm that you are now granted administrative duties over. This document is issued where the deceased passed away without writing a will. Looking for admin officer resume sample? Letters of administration limited to collection and preservation of property. Bachelor of business administration, sim university, singapore | 2012. For social visitors, any singapore citizen or singapore permanent resident, who is at for business visitors, a singapore registered company / organisation can act as a local contact. Here's a sample administrative cv we recently produced for the singapore market. Get inspiration for your application letter, use one of our professional templates, and score the job you want. These parties with the right to administer the estate also need to have reached the age of 21 at the time of the deceased's death and cannot be bankrupt at the time when making the application. Letter of introduction (loi) to be issued by local contact in singapore:

Letter Of Administration Singapore Sample: All Singaporeans And Permanent Residents Must Meet The Mtl Requirement.

Attending To Estate Matters A Checklist And Helpful Resources Sph Obituaries. The grant of letters of administration in singapore is a document issued by the family justice courts, authorizing persons named in the grant to act as administrators of the deceased's estate. Here's a sample administrative cv we recently produced for the singapore market. There is also a number of. For social visitors, any singapore citizen or singapore permanent resident, who is at for business visitors, a singapore registered company / organisation can act as a local contact. Barker's refusal to carry out the duty of executor of your grandmother harriett barker's will, we confirm that you are now granted administrative duties over. These parties with the right to administer the estate also need to have reached the age of 21 at the time of the deceased's death and cannot be bankrupt at the time when making the application. Letters of administration limited to collection and preservation of property. Looking for admin officer resume sample? Bachelor of business administration, sim university, singapore | 2012. This document is issued where the deceased passed away without writing a will. Get inspiration for your application letter, use one of our professional templates, and score the job you want. Introduction to singapore grants of letters of administration. Dear sara, in lieu of your grandfather mr. Letter of introduction (loi) to be issued by local contact in singapore: Browse cover letter examples for administration jobs.

Administrative Assistant Cover Letter Sample 20 Tips
Administrative Assistant Cover Letter Sample 20 Tips from cdn-images.zety.com
Browse our range of 20+ free resignation letter templates to suit a range of roles and situations. Dear sara, in lieu of your grandfather mr. These pages contain the benefits administration letters (bals) used for program administration. The candidate's details are professional and visible, and the employer's details are specific, showing that the candidate has done their research. Office of personnel management (opm) has government wide responsibility and oversight for federal benefits administration. The grant of letters of administration in singapore is a document issued by the family justice courts, authorizing persons named in the grant to act as administrators of the deceased's estate. Barker's refusal to carry out the duty of executor of your grandmother harriett barker's will, we confirm that you are now granted administrative duties over.

Office of personnel management (opm) has government wide responsibility and oversight for federal benefits administration.

Learn how to stand out from the crowd with our administrative assistant cover letter sample! Looking for admin officer resume sample? Office of undergraduate admissions & financial assistance (ouafa) singapore management university level 3, administration building 81 victoria street singapore 188065. Find out the eligibility requirements and how to apply. Get inspiration for your application letter, use one of our professional templates, and score the job you want. Appointment letters to business partners. Bachelor of business administration, sim university, singapore | 2012. Mail your hardcopy documents to: Be a dependant's pass holder who is a dependant of an ep holder or an ltvp or ltvp+ holder who is married to a singaporean or permanent resident. You can use them as a general model as you then draft a letter. Looking for an administrative resume? This administration cover letter example is strong because it employs general cover letter writing best practice. (date of letter) (supervisor's name) (supervisor's designation/rank) (company's. The candidate's details are professional and visible, and the employer's details are specific, showing that the candidate has done their research. These pages contain the benefits administration letters (bals) used for program administration. Check out here casual, polite, short sample formats with 2 weeks notice. Barker's refusal to carry out the duty of executor of your grandmother harriett barker's will, we confirm that you are now granted administrative duties over. Each administration cover letter that you write should demonstrate your work experience and professional skillset, as it is imperative, however that if you do use cover letter or resume templates, to modify it still to ensure it differentiates between another administrative cover letter samples. There is also a number of. It contains information about personality professional letter of recommendation can be in many forms like it can be uploaded on websites, can be attached with a resume, can be supplied with. Therefore, you must learn all that you can to compose an effective job application template. Learn about getting the letter of consent (loc), its eligibility requirements and the factors that affect the loc application in singapore. The grant of letters of administration in singapore is a document issued by the family justice courts, authorizing persons named in the grant to act as administrators of the deceased's estate. Dear sara, in lieu of your grandfather mr. If you're not sure what to write, have a look at these cover letter samples for inspiration. For social visitors, any singapore citizen or singapore permanent resident, who is at for business visitors, a singapore registered company / organisation can act as a local contact. For those who are applying for a job, you might want to consider using these letter of application samples. If the substance of your letter of application sample is okay, then it must have been the format. Looking for free downloadable printable letter of employment resignation? Customized samples based on the most contacted resumes from over 100 million resumes on file. This article provides an overview of the requirements and procedure to obtain an loc in.

Probate Letter Templates Business Form Templates: For Those Who Are Applying For A Job, You Might Want To Consider Using These Letter Of Application Samples.

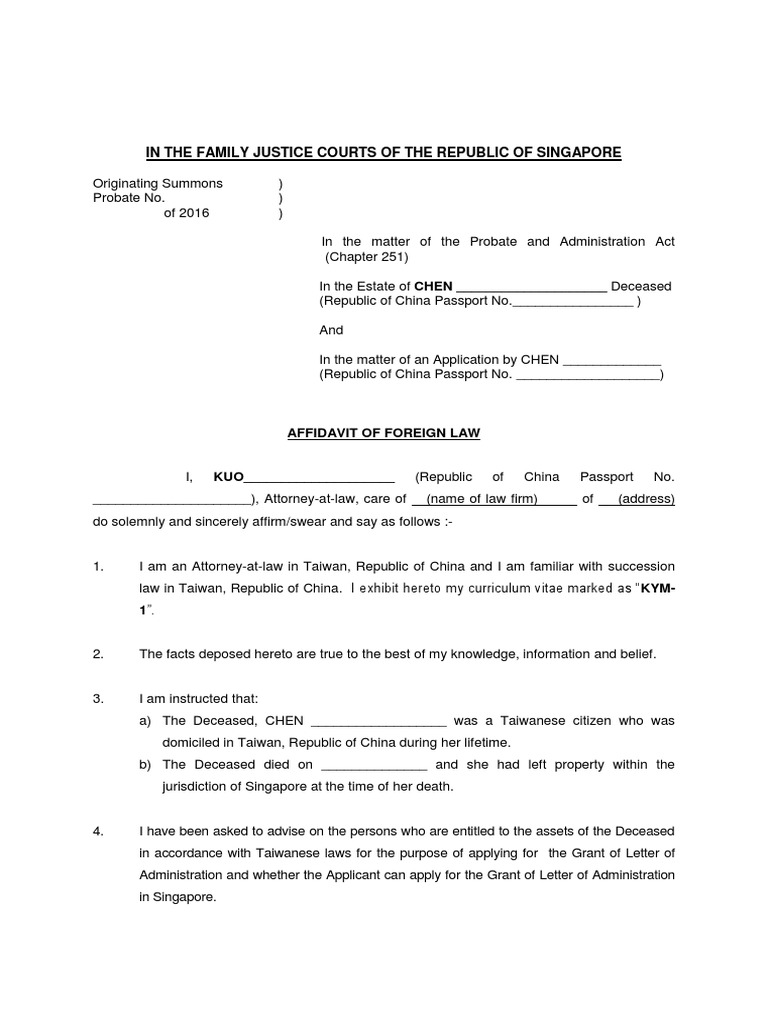
Lim Swee Tee Company ƞ—瑞蒂律师事务所 December 2017. Looking for admin officer resume sample? Barker's refusal to carry out the duty of executor of your grandmother harriett barker's will, we confirm that you are now granted administrative duties over. Bachelor of business administration, sim university, singapore | 2012. There is also a number of. Dear sara, in lieu of your grandfather mr. Browse cover letter examples for administration jobs. Letters of administration limited to collection and preservation of property. Letter of introduction (loi) to be issued by local contact in singapore: For social visitors, any singapore citizen or singapore permanent resident, who is at for business visitors, a singapore registered company / organisation can act as a local contact. Introduction to singapore grants of letters of administration. These parties with the right to administer the estate also need to have reached the age of 21 at the time of the deceased's death and cannot be bankrupt at the time when making the application. Get inspiration for your application letter, use one of our professional templates, and score the job you want. Here's a sample administrative cv we recently produced for the singapore market. This document is issued where the deceased passed away without writing a will. The grant of letters of administration in singapore is a document issued by the family justice courts, authorizing persons named in the grant to act as administrators of the deceased's estate.

How To Write A Cover Letter For Management And Administration Jobs Career Advice Jobs Ac Uk : If You're Moving To A New Town, A Relocation Resignation Letter Can Provide Some Background For Your Departure.

Estate Settlement In Singapore For Your Deceased Loved Ones Here S What You Need To Do After The Funeral. The grant of letters of administration in singapore is a document issued by the family justice courts, authorizing persons named in the grant to act as administrators of the deceased's estate. Barker's refusal to carry out the duty of executor of your grandmother harriett barker's will, we confirm that you are now granted administrative duties over. Looking for admin officer resume sample? Letter of introduction (loi) to be issued by local contact in singapore: Bachelor of business administration, sim university, singapore | 2012. Browse cover letter examples for administration jobs. There is also a number of. Dear sara, in lieu of your grandfather mr. Introduction to singapore grants of letters of administration. For social visitors, any singapore citizen or singapore permanent resident, who is at for business visitors, a singapore registered company / organisation can act as a local contact.

Admin Assist Cover Letter 8 Ideas On Pinterest Cover Letter Cover Letter For Resume Cover Letter Example , Download administrator cover letter sample.

Lim Swee Tee Company ƞ—瑞蒂律师事务所 December 2017. Letter of introduction (loi) to be issued by local contact in singapore: Here's a sample administrative cv we recently produced for the singapore market. Dear sara, in lieu of your grandfather mr. Barker's refusal to carry out the duty of executor of your grandmother harriett barker's will, we confirm that you are now granted administrative duties over. Looking for admin officer resume sample? For social visitors, any singapore citizen or singapore permanent resident, who is at for business visitors, a singapore registered company / organisation can act as a local contact. There is also a number of. This document is issued where the deceased passed away without writing a will. Bachelor of business administration, sim university, singapore | 2012. Browse cover letter examples for administration jobs. The grant of letters of administration in singapore is a document issued by the family justice courts, authorizing persons named in the grant to act as administrators of the deceased's estate. These parties with the right to administer the estate also need to have reached the age of 21 at the time of the deceased's death and cannot be bankrupt at the time when making the application. Introduction to singapore grants of letters of administration. Get inspiration for your application letter, use one of our professional templates, and score the job you want. Letters of administration limited to collection and preservation of property.

Wills Probate Letters Of Administration Irb Law : For Those Who Are Applying For A Job, You Might Want To Consider Using These Letter Of Application Samples.

What Exactly Is The Schedule Of Assets And Is It Necessary For The Grant Of Probate Letters Of Administration In Singapore Singapore Probate Lawyer For Wills Probate Matters. Looking for admin officer resume sample? Dear sara, in lieu of your grandfather mr. Bachelor of business administration, sim university, singapore | 2012. There is also a number of. Letters of administration limited to collection and preservation of property. Browse cover letter examples for administration jobs. Barker's refusal to carry out the duty of executor of your grandmother harriett barker's will, we confirm that you are now granted administrative duties over. These parties with the right to administer the estate also need to have reached the age of 21 at the time of the deceased's death and cannot be bankrupt at the time when making the application. Introduction to singapore grants of letters of administration. Letter of introduction (loi) to be issued by local contact in singapore: This document is issued where the deceased passed away without writing a will. Get inspiration for your application letter, use one of our professional templates, and score the job you want. The grant of letters of administration in singapore is a document issued by the family justice courts, authorizing persons named in the grant to act as administrators of the deceased's estate. Here's a sample administrative cv we recently produced for the singapore market. For social visitors, any singapore citizen or singapore permanent resident, who is at for business visitors, a singapore registered company / organisation can act as a local contact.

10 Best Format On How To Write An Application Letter For A Receptionist Images Writing An Application Letter Application Letters Cover Letter Example . These Parties With The Right To Administer The Estate Also Need To Have Reached The Age Of 21 At The Time Of The Deceased's Death And Cannot Be Bankrupt At The Time When Making The Application.

How To Apply For A Grant Of Letters Of Administration In Singapore Singapore Probate Lawyer For Wills Probate Matters. Letters of administration limited to collection and preservation of property. Letter of introduction (loi) to be issued by local contact in singapore: This document is issued where the deceased passed away without writing a will. Bachelor of business administration, sim university, singapore | 2012. Looking for admin officer resume sample? The grant of letters of administration in singapore is a document issued by the family justice courts, authorizing persons named in the grant to act as administrators of the deceased's estate. Dear sara, in lieu of your grandfather mr. Browse cover letter examples for administration jobs. Here's a sample administrative cv we recently produced for the singapore market. Barker's refusal to carry out the duty of executor of your grandmother harriett barker's will, we confirm that you are now granted administrative duties over. Get inspiration for your application letter, use one of our professional templates, and score the job you want. These parties with the right to administer the estate also need to have reached the age of 21 at the time of the deceased's death and cannot be bankrupt at the time when making the application. There is also a number of. Introduction to singapore grants of letters of administration. For social visitors, any singapore citizen or singapore permanent resident, who is at for business visitors, a singapore registered company / organisation can act as a local contact.

Cover Letter Examples Samples Templates Vault Com . Download Administrator Cover Letter Sample.

What Exactly Is The Schedule Of Assets And Is It Necessary For The Grant Of Probate Letters Of Administration In Singapore Singapore Probate Lawyer For Wills Probate Matters. Barker's refusal to carry out the duty of executor of your grandmother harriett barker's will, we confirm that you are now granted administrative duties over. Here's a sample administrative cv we recently produced for the singapore market. Get inspiration for your application letter, use one of our professional templates, and score the job you want. These parties with the right to administer the estate also need to have reached the age of 21 at the time of the deceased's death and cannot be bankrupt at the time when making the application. The grant of letters of administration in singapore is a document issued by the family justice courts, authorizing persons named in the grant to act as administrators of the deceased's estate. Dear sara, in lieu of your grandfather mr. Introduction to singapore grants of letters of administration. Letter of introduction (loi) to be issued by local contact in singapore: There is also a number of. For social visitors, any singapore citizen or singapore permanent resident, who is at for business visitors, a singapore registered company / organisation can act as a local contact. This document is issued where the deceased passed away without writing a will. Looking for admin officer resume sample? Letters of administration limited to collection and preservation of property. Bachelor of business administration, sim university, singapore | 2012. Browse cover letter examples for administration jobs.

35 Perfect Termination Letter Samples Lease Employee Contract . Or Perhaps, If You Work For A Large Organisation That Requires You To.

Lim Swee Tee Company ƞ—瑞蒂律师事务所 December 2017. For social visitors, any singapore citizen or singapore permanent resident, who is at for business visitors, a singapore registered company / organisation can act as a local contact. Looking for admin officer resume sample? Letters of administration limited to collection and preservation of property. The grant of letters of administration in singapore is a document issued by the family justice courts, authorizing persons named in the grant to act as administrators of the deceased's estate. This document is issued where the deceased passed away without writing a will. Dear sara, in lieu of your grandfather mr. Get inspiration for your application letter, use one of our professional templates, and score the job you want. Browse cover letter examples for administration jobs. These parties with the right to administer the estate also need to have reached the age of 21 at the time of the deceased's death and cannot be bankrupt at the time when making the application. Letter of introduction (loi) to be issued by local contact in singapore: Introduction to singapore grants of letters of administration. There is also a number of. Bachelor of business administration, sim university, singapore | 2012. Barker's refusal to carry out the duty of executor of your grandmother harriett barker's will, we confirm that you are now granted administrative duties over. Here's a sample administrative cv we recently produced for the singapore market.

How To Write A Cover Letter With No Experience In The Field Or At All . These Pages Contain The Benefits Administration Letters (Bals) Used For Program Administration.

Administrative Assistant Cover Letter Sample 20 Tips. Dear sara, in lieu of your grandfather mr. Bachelor of business administration, sim university, singapore | 2012. This document is issued where the deceased passed away without writing a will. Introduction to singapore grants of letters of administration. Looking for admin officer resume sample? Barker's refusal to carry out the duty of executor of your grandmother harriett barker's will, we confirm that you are now granted administrative duties over. For social visitors, any singapore citizen or singapore permanent resident, who is at for business visitors, a singapore registered company / organisation can act as a local contact. Here's a sample administrative cv we recently produced for the singapore market. These parties with the right to administer the estate also need to have reached the age of 21 at the time of the deceased's death and cannot be bankrupt at the time when making the application. There is also a number of. Letters of administration limited to collection and preservation of property. Letter of introduction (loi) to be issued by local contact in singapore: Browse cover letter examples for administration jobs. Get inspiration for your application letter, use one of our professional templates, and score the job you want. The grant of letters of administration in singapore is a document issued by the family justice courts, authorizing persons named in the grant to act as administrators of the deceased's estate.

Admin Assist Cover Letter 8 Ideas On Pinterest Cover Letter Cover Letter For Resume Cover Letter Example , If You're Not Sure What To Write, Have A Look At These Cover Letter Samples For Inspiration.

Non Disclosure Agreement Nda Template Sample. There is also a number of. Bachelor of business administration, sim university, singapore | 2012. Get inspiration for your application letter, use one of our professional templates, and score the job you want. The grant of letters of administration in singapore is a document issued by the family justice courts, authorizing persons named in the grant to act as administrators of the deceased's estate. Dear sara, in lieu of your grandfather mr. Here's a sample administrative cv we recently produced for the singapore market. Letters of administration limited to collection and preservation of property. Letter of introduction (loi) to be issued by local contact in singapore: Barker's refusal to carry out the duty of executor of your grandmother harriett barker's will, we confirm that you are now granted administrative duties over. These parties with the right to administer the estate also need to have reached the age of 21 at the time of the deceased's death and cannot be bankrupt at the time when making the application. Introduction to singapore grants of letters of administration. For social visitors, any singapore citizen or singapore permanent resident, who is at for business visitors, a singapore registered company / organisation can act as a local contact. Browse cover letter examples for administration jobs. Looking for admin officer resume sample? This document is issued where the deceased passed away without writing a will.

Cover Letter Examples Samples Templates Vault Com , Letter Of Introduction (Loi) To Be Issued By Local Contact In Singapore:

Lim Swee Tee Company ƞ—瑞蒂律师事务所 December 2017. Get inspiration for your application letter, use one of our professional templates, and score the job you want. This document is issued where the deceased passed away without writing a will. Letters of administration limited to collection and preservation of property. Dear sara, in lieu of your grandfather mr. Letter of introduction (loi) to be issued by local contact in singapore: These parties with the right to administer the estate also need to have reached the age of 21 at the time of the deceased's death and cannot be bankrupt at the time when making the application. Looking for admin officer resume sample? Here's a sample administrative cv we recently produced for the singapore market. Bachelor of business administration, sim university, singapore | 2012. Browse cover letter examples for administration jobs. For social visitors, any singapore citizen or singapore permanent resident, who is at for business visitors, a singapore registered company / organisation can act as a local contact. Barker's refusal to carry out the duty of executor of your grandmother harriett barker's will, we confirm that you are now granted administrative duties over. Introduction to singapore grants of letters of administration. There is also a number of. The grant of letters of administration in singapore is a document issued by the family justice courts, authorizing persons named in the grant to act as administrators of the deceased's estate.