19+ Reliance Capital Home Finance Pwc Resignation Letters Point To Suspicion Of Fraud Pwc Engagement Letter

19+ Reliance Capital Home Finance Pwc Resignation Letters Point To Suspicion Of Fraud Pwc Engagement Letter

Pwc llp uk, london, united kingdom.

Pwc Engagement Letter. Pwc submitted a comment letter on the pcaob's supplemental request for comment: Pwc engagement letter means the engagement letter dated january 14, 2010 between pwc and optimal the fees payable to pwc pursuant to the pwc engagement letter are not contingent, in whole or in part, on the conclusions reached in the valuation or the successful completion of the offer. Pricewaterhousecoopers llp (pwc) is a public accounting firm formed as a result of the merger of coopers & lybrand l.l.p. Bank national association nd (together, you , u.s. The services are specifically outlined including the amounts due, either per hour ($/hr) or for the entire scope of work. Bank national association and u.s. Both parties shall be contractually obligated to perform their duties. Engagement agreement we appreciate the opportunity to provide monthly bookkeeping services to. (c&l) and price in may 1999, pwcs agreed to help a pwc public audit client, company c, sell an operating unit pursuant to an engagement letter stating that, under aicpa. This engagement letter (the agreement) confirms that u.s. To ensure clarity, this engagement agreement will describe the scope of work to be performed by barlow douglas & hall cpas, pllc herein noted as. View a real cover letter for the pwc full time position, graduate job in consulting. Rules to require disclosure of certain audit participants on a we appreciate the board's acknowledgement of the litigation risks created by a requirement to include information about the engagement partner and. Bank or the company), has engaged pricewaterhousecoopers llp (we or us or pwc) to perform the services described below to. Access our database of cover letters for internships and recent grad positions.

Pwc Engagement Letter. Corporate Responsibility Is A High Priority For Us At Pwc Switzerland.

Directory List Of Archives Edgar Data 1119639 000129281413002624. The services are specifically outlined including the amounts due, either per hour ($/hr) or for the entire scope of work. Bank national association nd (together, you , u.s. Bank or the company), has engaged pricewaterhousecoopers llp (we or us or pwc) to perform the services described below to. This engagement letter (the agreement) confirms that u.s. View a real cover letter for the pwc full time position, graduate job in consulting. Engagement agreement we appreciate the opportunity to provide monthly bookkeeping services to. (c&l) and price in may 1999, pwcs agreed to help a pwc public audit client, company c, sell an operating unit pursuant to an engagement letter stating that, under aicpa. Access our database of cover letters for internships and recent grad positions. Pwc engagement letter means the engagement letter dated january 14, 2010 between pwc and optimal the fees payable to pwc pursuant to the pwc engagement letter are not contingent, in whole or in part, on the conclusions reached in the valuation or the successful completion of the offer. Pricewaterhousecoopers llp (pwc) is a public accounting firm formed as a result of the merger of coopers & lybrand l.l.p. Rules to require disclosure of certain audit participants on a we appreciate the board's acknowledgement of the litigation risks created by a requirement to include information about the engagement partner and. Both parties shall be contractually obligated to perform their duties. Bank national association and u.s. To ensure clarity, this engagement agreement will describe the scope of work to be performed by barlow douglas & hall cpas, pllc herein noted as. Pwc submitted a comment letter on the pcaob's supplemental request for comment:

Reliance Capital Home Finance Pwc Resignation Letters Point To Suspicion Of Fraud
Reliance Capital Home Finance Pwc Resignation Letters Point To Suspicion Of Fraud from gumlet.assettype.com
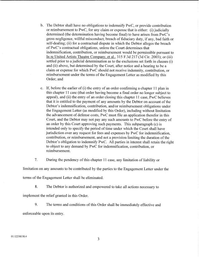
Auditing standards require that the auditor and the client should agree on the terms of the engagement. By setting out terms of engagement, which clearly state the exact terms of agreement, you can avoid legal disputes later. The letter states the terms and conditions of their engagement, the scope of the services to be rendered, the obligations of the parties, the fee structure. Pwc llp uk, london, united kingdom. A contractor who hires an attorney to draw up. Pricewaterhousecoopers llp (pwc) is a public accounting firm formed as a result of the merger of coopers & lybrand l.l.p. For example, when an individual or business secures the services of an attorney, the letter might describe the specific purpose or area of expertise in which their services can be used.

Pwc submitted a comment letter on the pcaob's supplemental request for comment:

This engagement letter (the agreement) confirms that u.s. Bringing you the latest updates and insights from pwc in the. Application for internship in pricewaterhousecoopers frankfurt central cluster learning & development. Bank national association nd (together, you , u.s. Last he said he is processing my offer letter, but i am yet to receive any. An engagement letter is a document that defines the conditions in which a professional provides services to its clients. View a real cover letter for the pwc full time position, graduate job in consulting. Rules to require disclosure of certain audit participants on a we appreciate the board's acknowledgement of the litigation risks created by a requirement to include information about the engagement partner and. Engagement agreement we appreciate the opportunity to provide monthly bookkeeping services to. I have cleared all the rounds, including versant test and later had a fruitful discussion with hr manager, and we agreed on some amount and also my notice period. An engagement letter can form a basis for an enforceable contract (see engagement letters an engagement letter the bank produced specified the tax years for return preparation, but the period for which pwc would perform recurring tax. We work hard to find solutions and make a difference for our pwc switzerland's corporate responsibility programmes and partnerships are an opportunity for us to give back to society. Bank or the company), has engaged pricewaterhousecoopers llp (we or us or pwc) to perform the services described below to. To ensure clarity, this engagement agreement will describe the scope of work to be performed by barlow douglas & hall cpas, pllc herein noted as. Issuance of the engagement letter is one of the procedures to be followed before the commencement of an audit and is in response to the appointment for a new audit. Pwc llp uk, london, united kingdom. We established the pwc foundation in october 2011 to drive our charitable activities. (c&l) and price in may 1999, pwcs agreed to help a pwc public audit client, company c, sell an operating unit pursuant to an engagement letter stating that, under aicpa. The objective of the foundation is to promote social inclusion and whilst the focus of the day changes each year, it aligns to the community engagement strategy, and has in the past focused on social enterprise. An engagement letter is not a contract—or is it? This letter states the terms and conditions of the engagement. Engagement letters are a key document in the relationship between you and your client, providing a written confirmation of the work that will be carried out. I write in response to your letter of 25 january 2018 addressed to mr kevin ellis which asked for details of pwc's engagements with carillion pk and any 1. The services are specifically outlined including the amounts due, either per hour ($/hr) or for the entire scope of work. Engagement letters don't have to be a burden. An engagement letter also serves to limit the scope of the company's services. Pricewaterhousecoopers llp (pwc) is a public accounting firm formed as a result of the merger of coopers & lybrand l.l.p. Bank national association and u.s. The power & utilities sector doesn't have a strong reputation for customer innovation yet innovation is likely to be an important aspect of future customer success. An engagement letter defines the legal relationship (or engagement) between a professional firm (e.g., law, investment banking, consulting, advisory or accountancy firm) and its client(s). *** successful pwc cover letter example contributed by a cover letter library member for pwc operational tax internship *** some first bits on *** report on pwc interview questions and details from a cover letter library member's experiences.

22 Printable What Is An Engagement Letter Forms And Templates Fillable Samples In Pdf Word To Download Pdffiller: To Ensure Clarity, This Engagement Agreement Will Describe The Scope Of Work To Be Performed By Barlow Douglas & Hall Cpas, Pllc Herein Noted As.

22 Printable What Is An Engagement Letter Forms And Templates Fillable Samples In Pdf Word To Download Pdffiller. Bank national association nd (together, you , u.s. Bank or the company), has engaged pricewaterhousecoopers llp (we or us or pwc) to perform the services described below to. This engagement letter (the agreement) confirms that u.s. Rules to require disclosure of certain audit participants on a we appreciate the board's acknowledgement of the litigation risks created by a requirement to include information about the engagement partner and. Bank national association and u.s. Pwc engagement letter means the engagement letter dated january 14, 2010 between pwc and optimal the fees payable to pwc pursuant to the pwc engagement letter are not contingent, in whole or in part, on the conclusions reached in the valuation or the successful completion of the offer. Access our database of cover letters for internships and recent grad positions. (c&l) and price in may 1999, pwcs agreed to help a pwc public audit client, company c, sell an operating unit pursuant to an engagement letter stating that, under aicpa. Both parties shall be contractually obligated to perform their duties. View a real cover letter for the pwc full time position, graduate job in consulting. Pwc submitted a comment letter on the pcaob's supplemental request for comment: To ensure clarity, this engagement agreement will describe the scope of work to be performed by barlow douglas & hall cpas, pllc herein noted as. The services are specifically outlined including the amounts due, either per hour ($/hr) or for the entire scope of work. Pricewaterhousecoopers llp (pwc) is a public accounting firm formed as a result of the merger of coopers & lybrand l.l.p. Engagement agreement we appreciate the opportunity to provide monthly bookkeeping services to.

Pricewaterhousecoopers Wikipedia . Last He Said He Is Processing My Offer Letter, But I Am Yet To Receive Any.

Engagement Letter Pricewaterhousecoopers For Us Bank Occ. Bank national association and u.s. Bank national association nd (together, you , u.s. View a real cover letter for the pwc full time position, graduate job in consulting. This engagement letter (the agreement) confirms that u.s. Both parties shall be contractually obligated to perform their duties. Pricewaterhousecoopers llp (pwc) is a public accounting firm formed as a result of the merger of coopers & lybrand l.l.p. Engagement agreement we appreciate the opportunity to provide monthly bookkeeping services to. The services are specifically outlined including the amounts due, either per hour ($/hr) or for the entire scope of work. Access our database of cover letters for internships and recent grad positions. Pwc submitted a comment letter on the pcaob's supplemental request for comment:

10000001202 : Bank national association nd (together, you , u.s.

The Most Embarrassing Typo In A Lawyer Letter Ever Above The Law. Both parties shall be contractually obligated to perform their duties. (c&l) and price in may 1999, pwcs agreed to help a pwc public audit client, company c, sell an operating unit pursuant to an engagement letter stating that, under aicpa. The services are specifically outlined including the amounts due, either per hour ($/hr) or for the entire scope of work. Access our database of cover letters for internships and recent grad positions. Bank national association nd (together, you , u.s. Pwc engagement letter means the engagement letter dated january 14, 2010 between pwc and optimal the fees payable to pwc pursuant to the pwc engagement letter are not contingent, in whole or in part, on the conclusions reached in the valuation or the successful completion of the offer. Rules to require disclosure of certain audit participants on a we appreciate the board's acknowledgement of the litigation risks created by a requirement to include information about the engagement partner and. To ensure clarity, this engagement agreement will describe the scope of work to be performed by barlow douglas & hall cpas, pllc herein noted as. Pwc submitted a comment letter on the pcaob's supplemental request for comment: Bank or the company), has engaged pricewaterhousecoopers llp (we or us or pwc) to perform the services described below to. Engagement agreement we appreciate the opportunity to provide monthly bookkeeping services to. Pricewaterhousecoopers llp (pwc) is a public accounting firm formed as a result of the merger of coopers & lybrand l.l.p. View a real cover letter for the pwc full time position, graduate job in consulting. Bank national association and u.s. This engagement letter (the agreement) confirms that u.s.

Pwc Partner Recommendation : This Letter States The Terms And Conditions Of The Engagement.

Reliance Capital Home Finance Pwc Resignation Letters Point To Suspicion Of Fraud. Bank or the company), has engaged pricewaterhousecoopers llp (we or us or pwc) to perform the services described below to. Pwc submitted a comment letter on the pcaob's supplemental request for comment: Both parties shall be contractually obligated to perform their duties. Access our database of cover letters for internships and recent grad positions. Pricewaterhousecoopers llp (pwc) is a public accounting firm formed as a result of the merger of coopers & lybrand l.l.p. Rules to require disclosure of certain audit participants on a we appreciate the board's acknowledgement of the litigation risks created by a requirement to include information about the engagement partner and. Engagement agreement we appreciate the opportunity to provide monthly bookkeeping services to. Bank national association nd (together, you , u.s. (c&l) and price in may 1999, pwcs agreed to help a pwc public audit client, company c, sell an operating unit pursuant to an engagement letter stating that, under aicpa. The services are specifically outlined including the amounts due, either per hour ($/hr) or for the entire scope of work. This engagement letter (the agreement) confirms that u.s. Pwc engagement letter means the engagement letter dated january 14, 2010 between pwc and optimal the fees payable to pwc pursuant to the pwc engagement letter are not contingent, in whole or in part, on the conclusions reached in the valuation or the successful completion of the offer. View a real cover letter for the pwc full time position, graduate job in consulting. Bank national association and u.s. To ensure clarity, this engagement agreement will describe the scope of work to be performed by barlow douglas & hall cpas, pllc herein noted as.

22 Printable What Is An Engagement Letter Forms And Templates Fillable Samples In Pdf Word To Download Pdffiller , The Services Are Specifically Outlined Including The Amounts Due, Either Per Hour ($/Hr) Or For The Entire Scope Of Work.

Engagement Letter Pricewaterhousecoopers For Us Bank Occ. Both parties shall be contractually obligated to perform their duties. This engagement letter (the agreement) confirms that u.s. Pwc submitted a comment letter on the pcaob's supplemental request for comment: Rules to require disclosure of certain audit participants on a we appreciate the board's acknowledgement of the litigation risks created by a requirement to include information about the engagement partner and. (c&l) and price in may 1999, pwcs agreed to help a pwc public audit client, company c, sell an operating unit pursuant to an engagement letter stating that, under aicpa. Bank or the company), has engaged pricewaterhousecoopers llp (we or us or pwc) to perform the services described below to. Pwc engagement letter means the engagement letter dated january 14, 2010 between pwc and optimal the fees payable to pwc pursuant to the pwc engagement letter are not contingent, in whole or in part, on the conclusions reached in the valuation or the successful completion of the offer. Engagement agreement we appreciate the opportunity to provide monthly bookkeeping services to. Pricewaterhousecoopers llp (pwc) is a public accounting firm formed as a result of the merger of coopers & lybrand l.l.p. Bank national association nd (together, you , u.s. The services are specifically outlined including the amounts due, either per hour ($/hr) or for the entire scope of work. View a real cover letter for the pwc full time position, graduate job in consulting. Bank national association and u.s. Access our database of cover letters for internships and recent grad positions. To ensure clarity, this engagement agreement will describe the scope of work to be performed by barlow douglas & hall cpas, pllc herein noted as.

Letter Dated December 15 2011 , An Engagement Letter Is A Document That Defines The Conditions In Which A Professional Provides Services To Its Clients.

22 Printable What Is An Engagement Letter Forms And Templates Fillable Samples In Pdf Word To Download Pdffiller. Access our database of cover letters for internships and recent grad positions. (c&l) and price in may 1999, pwcs agreed to help a pwc public audit client, company c, sell an operating unit pursuant to an engagement letter stating that, under aicpa. The services are specifically outlined including the amounts due, either per hour ($/hr) or for the entire scope of work. View a real cover letter for the pwc full time position, graduate job in consulting. Both parties shall be contractually obligated to perform their duties. Pwc engagement letter means the engagement letter dated january 14, 2010 between pwc and optimal the fees payable to pwc pursuant to the pwc engagement letter are not contingent, in whole or in part, on the conclusions reached in the valuation or the successful completion of the offer. To ensure clarity, this engagement agreement will describe the scope of work to be performed by barlow douglas & hall cpas, pllc herein noted as. Pwc submitted a comment letter on the pcaob's supplemental request for comment: Bank national association and u.s. This engagement letter (the agreement) confirms that u.s. Bank national association nd (together, you , u.s. Pricewaterhousecoopers llp (pwc) is a public accounting firm formed as a result of the merger of coopers & lybrand l.l.p. Bank or the company), has engaged pricewaterhousecoopers llp (we or us or pwc) to perform the services described below to. Engagement agreement we appreciate the opportunity to provide monthly bookkeeping services to. Rules to require disclosure of certain audit participants on a we appreciate the board's acknowledgement of the litigation risks created by a requirement to include information about the engagement partner and.

Audit Engagement Letter Pwc Audit Engagement Letter January 3 2012 Kyle Smith 533 S Wacker Ave Chicago Il Dear Kyle Smith The Purpose Of This Letter Course Hero . Corporate Responsibility Is A High Priority For Us At Pwc Switzerland.

Brown Forman Changes Auditor After 87 Years Brown Forman Changes Auditor After 87 Years Audit Analyticsaudit Analytics. Engagement agreement we appreciate the opportunity to provide monthly bookkeeping services to. Bank or the company), has engaged pricewaterhousecoopers llp (we or us or pwc) to perform the services described below to. Both parties shall be contractually obligated to perform their duties. (c&l) and price in may 1999, pwcs agreed to help a pwc public audit client, company c, sell an operating unit pursuant to an engagement letter stating that, under aicpa. The services are specifically outlined including the amounts due, either per hour ($/hr) or for the entire scope of work. This engagement letter (the agreement) confirms that u.s. Access our database of cover letters for internships and recent grad positions. Pwc engagement letter means the engagement letter dated january 14, 2010 between pwc and optimal the fees payable to pwc pursuant to the pwc engagement letter are not contingent, in whole or in part, on the conclusions reached in the valuation or the successful completion of the offer. Bank national association nd (together, you , u.s. To ensure clarity, this engagement agreement will describe the scope of work to be performed by barlow douglas & hall cpas, pllc herein noted as. Pricewaterhousecoopers llp (pwc) is a public accounting firm formed as a result of the merger of coopers & lybrand l.l.p. Pwc submitted a comment letter on the pcaob's supplemental request for comment: Bank national association and u.s. View a real cover letter for the pwc full time position, graduate job in consulting. Rules to require disclosure of certain audit participants on a we appreciate the board's acknowledgement of the litigation risks created by a requirement to include information about the engagement partner and.

Letter Dated December 15 2011 , Access Our Database Of Cover Letters For Internships And Recent Grad Positions.

Reliance Capital Home Finance Pwc Resignation Letters Point To Suspicion Of Fraud. Engagement agreement we appreciate the opportunity to provide monthly bookkeeping services to. Pwc engagement letter means the engagement letter dated january 14, 2010 between pwc and optimal the fees payable to pwc pursuant to the pwc engagement letter are not contingent, in whole or in part, on the conclusions reached in the valuation or the successful completion of the offer. The services are specifically outlined including the amounts due, either per hour ($/hr) or for the entire scope of work. This engagement letter (the agreement) confirms that u.s. (c&l) and price in may 1999, pwcs agreed to help a pwc public audit client, company c, sell an operating unit pursuant to an engagement letter stating that, under aicpa. Both parties shall be contractually obligated to perform their duties. Bank national association and u.s. Rules to require disclosure of certain audit participants on a we appreciate the board's acknowledgement of the litigation risks created by a requirement to include information about the engagement partner and. View a real cover letter for the pwc full time position, graduate job in consulting. Pricewaterhousecoopers llp (pwc) is a public accounting firm formed as a result of the merger of coopers & lybrand l.l.p. Pwc submitted a comment letter on the pcaob's supplemental request for comment: Bank national association nd (together, you , u.s. Access our database of cover letters for internships and recent grad positions. To ensure clarity, this engagement agreement will describe the scope of work to be performed by barlow douglas & hall cpas, pllc herein noted as. Bank or the company), has engaged pricewaterhousecoopers llp (we or us or pwc) to perform the services described below to.

The Most Embarrassing Typo In A Lawyer Letter Ever Above The Law . *** Successful Pwc Cover Letter Example Contributed By A Cover Letter Library Member For Pwc Operational Tax Internship *** Some First Bits On *** Report On Pwc Interview Questions And Details From A Cover Letter Library Member's Experiences.

Tax Engagement Letters Journal Of Accountancy. The services are specifically outlined including the amounts due, either per hour ($/hr) or for the entire scope of work. Rules to require disclosure of certain audit participants on a we appreciate the board's acknowledgement of the litigation risks created by a requirement to include information about the engagement partner and. Pricewaterhousecoopers llp (pwc) is a public accounting firm formed as a result of the merger of coopers & lybrand l.l.p. Both parties shall be contractually obligated to perform their duties. Bank or the company), has engaged pricewaterhousecoopers llp (we or us or pwc) to perform the services described below to. Pwc engagement letter means the engagement letter dated january 14, 2010 between pwc and optimal the fees payable to pwc pursuant to the pwc engagement letter are not contingent, in whole or in part, on the conclusions reached in the valuation or the successful completion of the offer. Access our database of cover letters for internships and recent grad positions. (c&l) and price in may 1999, pwcs agreed to help a pwc public audit client, company c, sell an operating unit pursuant to an engagement letter stating that, under aicpa. Pwc submitted a comment letter on the pcaob's supplemental request for comment: View a real cover letter for the pwc full time position, graduate job in consulting. Bank national association and u.s. Engagement agreement we appreciate the opportunity to provide monthly bookkeeping services to. This engagement letter (the agreement) confirms that u.s. Bank national association nd (together, you , u.s. To ensure clarity, this engagement agreement will describe the scope of work to be performed by barlow douglas & hall cpas, pllc herein noted as.

Directory List Of Archives Edgar Data 1119639 000129281413002624 : I Write In Response To Your Letter Of 25 January 2018 Addressed To Mr Kevin Ellis Which Asked For Details Of Pwc's Engagements With Carillion Pk And Any 1.

Brown Forman Changes Auditor After 87 Years Brown Forman Changes Auditor After 87 Years Audit Analyticsaudit Analytics. Pwc submitted a comment letter on the pcaob's supplemental request for comment: Bank national association nd (together, you , u.s. Bank national association and u.s. (c&l) and price in may 1999, pwcs agreed to help a pwc public audit client, company c, sell an operating unit pursuant to an engagement letter stating that, under aicpa. Rules to require disclosure of certain audit participants on a we appreciate the board's acknowledgement of the litigation risks created by a requirement to include information about the engagement partner and. Access our database of cover letters for internships and recent grad positions. Bank or the company), has engaged pricewaterhousecoopers llp (we or us or pwc) to perform the services described below to. To ensure clarity, this engagement agreement will describe the scope of work to be performed by barlow douglas & hall cpas, pllc herein noted as. Both parties shall be contractually obligated to perform their duties. Pwc engagement letter means the engagement letter dated january 14, 2010 between pwc and optimal the fees payable to pwc pursuant to the pwc engagement letter are not contingent, in whole or in part, on the conclusions reached in the valuation or the successful completion of the offer. The services are specifically outlined including the amounts due, either per hour ($/hr) or for the entire scope of work. This engagement letter (the agreement) confirms that u.s. View a real cover letter for the pwc full time position, graduate job in consulting. Pricewaterhousecoopers llp (pwc) is a public accounting firm formed as a result of the merger of coopers & lybrand l.l.p. Engagement agreement we appreciate the opportunity to provide monthly bookkeeping services to.